Prof. Yoseph Imry
The Max Planck Chair for Quantum Physics (1988 - 2009)
| Tel: | +972-8-934-4064 |
![]() |
| Fax: | +972-8-934-4477 | |
| Email: | Yoseph.Imry@weizmann.ac.il | |
| Building: | Hermann and Dan Mayer Building for Semiconductor Science, Room 204 | |
| Status: | Professor Emeritus |
My research is centered on mesoscopic and disordered systems.
The former has to do with the new physics in the size scales between micro and macro - an area of which I have been one of the pioneers. The latter deals with a variety of very nontrivial real-world systems.
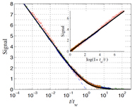
Together with Yuval Oreg and Ariel Amir, we have recently obtained exciting results on the slow relaxation and "aging" in glassy systems - one of the oldest unsolved problems in Physics.
From about 2010, I have also become interested in energy conversion via thermoelectricity, striving to increase performance. Promising ideas have recently been generated, together with Ora Entin-Wohlman and Jian-Hua Jiang.





