Braiding statistics of Anyons probed via fractional quantum Hall interferometry
As two indistinguishable particles interchange positions in our three-dimensional (3D) universe, their many-body wavefunction acquires zero or π phase shift for bosons and fermions, respectively. It has been believed that the dichotomy of the symmetry under an exchange operation is the fundamental property which can classify the all particles in our universe. However, this dichotomy can be broken in the two-dimensional (2D) space, where the many-body wave function of excitations (anyons), unlike fermions and bosons, may exhibit a non-trivial exchange phase for Abelian anyons, or even rotate to a new wavefunction in a highly degenerate ground state subspace for non-Abelian anyons. Among the various two-dimensional charge systems, the fractional quantum Hall effect (FQHE) states are predicted to host the novel quasi-particles (anyons) obeying the anyonic exchange statistics.
Electron-based interferometers, for example, Fabry-Pérot interferometers (FPI), in the framework of the FQHE is one of the feasible platforms enabling us to generate and detect the anyons. As a material system on which FPI is fabricated and operated in FQHE, we choose various van der Waals (vdW) materials, specifically employing mono- and bi-layer graphene as an two-dimensional active layer for FPI. Graphene-based FPIs enjoy several advantages compared to their GaAs older material system. We are able to realize both odd and even denominator states in a single heterostructure as well as assemble various vdW materials to form specific heterostructures based on our physical interest. In addition, bi-layer graphene heterostructures are expected to host several even-denominator states with larger gaps, where non-Abelian states are predicted to exist.
We have developed the robust fabrication technique for the FPI fabricated on a high-mobility bi-layer graphene heterostructure (Fig. 1). The FPI devices are measured in a highly filtered dilution refrigerator with the 15 mK of base temperature and high perpendicular magnetic field applied, resulting in Aharonov-Bohm dominated-interference in FQHE (Fig. 2). In order to generate and detect anyons more precisely in the FPI, we are working on developing our FPI devices in terms of the quality and design, which are the crucial steps for exploring the anyonic statistics and building the topological quantum computing.

Figure 1. False-color scanning electron microscopy (SEM) image describing the main structures of the FPI.

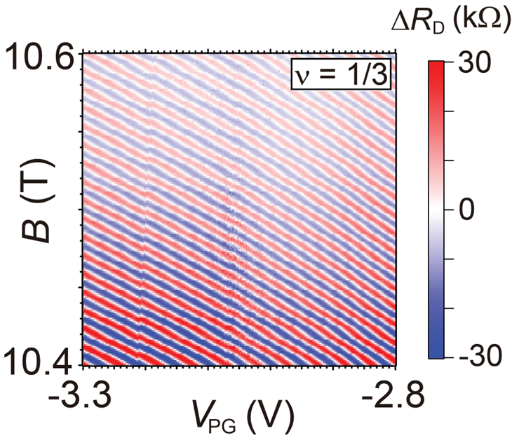
Figure 2. Aharonov-Bohm dominated-interference at 1/3 filling in FQHE, demonstrating 3Φ0 periodicity in a flux.
Publications
[1] Kim J., Dev H., Kumar R., Ilin A., Haug A., Bhardwaj V., Hong C., Watanabe K., Taniguchi T., Stern A. & Ronen Y. (2024). Aharonov–Bohm interference and statistical phase-jump evolution in fractional quantum Hall states in bilayer graphene | Nature Nanotechnology
[2] Kim J., Dev H., Shaer A., Kumar R., Ilin A., Haug A., Iskoz Sh., Watanabe K., Taniguchi T., Mross D.F., Stern A., Ronen Yu. (2024). Aharonov-Bohm Interference in Even-Denominator Fractional Quantum Hall States. arXiv preprint arXiv:2412.19886.