
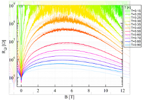
Magnetoresistance isotherms of insulating InO
thin film
Although the two leading theoretical models describing the phenomenon, namely the percolation picture and the "dirty boson" model, were proposed at a very early stage, experimental trials carried out during the last two decades could not conclusively rule out any model out of them.
Our main goal is to further clarify this issue, focusing on SIT in amorphous Indium oxide thin films.