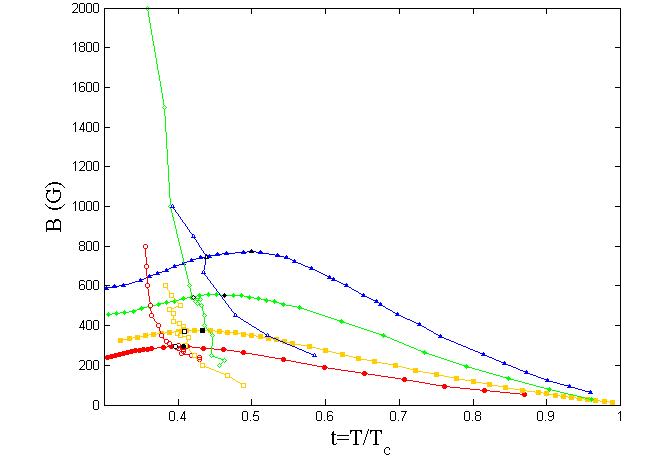
To further characterize the extended vortex phase diagram consisting of a first-order melting transition and a second-order glass transitions, we studied the dependence of these transition lines on the oxygen over-doping of the sample, δ [1]. The main effect of oxygen over-doping is to increase the coupling between the superconducting layers. This stiffens the pancake vortex stacks, thereby reducing the sample anisotropy and enhancing the elasticity of the vortex matter [2]. In addition, the excess oxygen atoms act as added point defects [3].
We found that the glass transition obeys a surprisingly simple anisotropy-scaling law which neglects the effect of disorder altogether [4]. By fitting the doping-dependent phase diagrams to those calculated from a theoretical model [5], we found that although defect density is known to increase with over-doping, the overall effect of disorder decreases due to the reduced anisotropy.

Doping dependence of the first- and second-order transition lines in the thermodynamic vortex phase diagram in BSCCO.

Rescaling the high-temperature part of the melting lines according to Bm~ε2 collapses the second-order glass lines, though fails for the disorder-induced inverse-melting.
Additional information
- Interplay of anisotropy and disorder in the doping-dependent melting and glass transitions of vortices in Bi2Sr2CaCu2O8+δ
H. Beidenkopf, T. Verdene, Y. Myasoedov, H. Shtrikman, E. Zeldov, B. Rosenstein, D. Li, and T. Tamegai
Phys. Rev. Lett. 98, 167004 (2007). - Vortex-Lattice Phase Transitions in Bi2Sr2CaCu2O8 Crystals with Different Oxygen Stoichiometry
B. Khaykovich, E. Zeldov, D. Majer, T. W. Li, P. H. Kes, and M. Konczykowski
Phys. Rev. Lett. 76, pp. 2555-2558 (1996). - Flux pinning in Bi-2212 single crystals with various oxygen contents
T. W. Li, , A. A. Menovsky, J. J. M. Franse and P. H. Kes
Physica C 257, 179 (1996). - From isotropic to anisotropic superconductors: A scaling approach
G. Blatter, V. B. Geshkenbein, and A. I. Larkin
Phys. Rev. Lett. 68, 875 (1992). - Hierarchical Nature of the Vortex Matter in Type II Superconductors due to Competition Between Interactions, Thermal Fluctuations and Disorder
D. Li, B. Rosenstein, and V. Vinokur
J. Supercond. Novel Mag. 19, 369 (2007)